1188282-01-0

1188282-01-0
|EC0090DQ
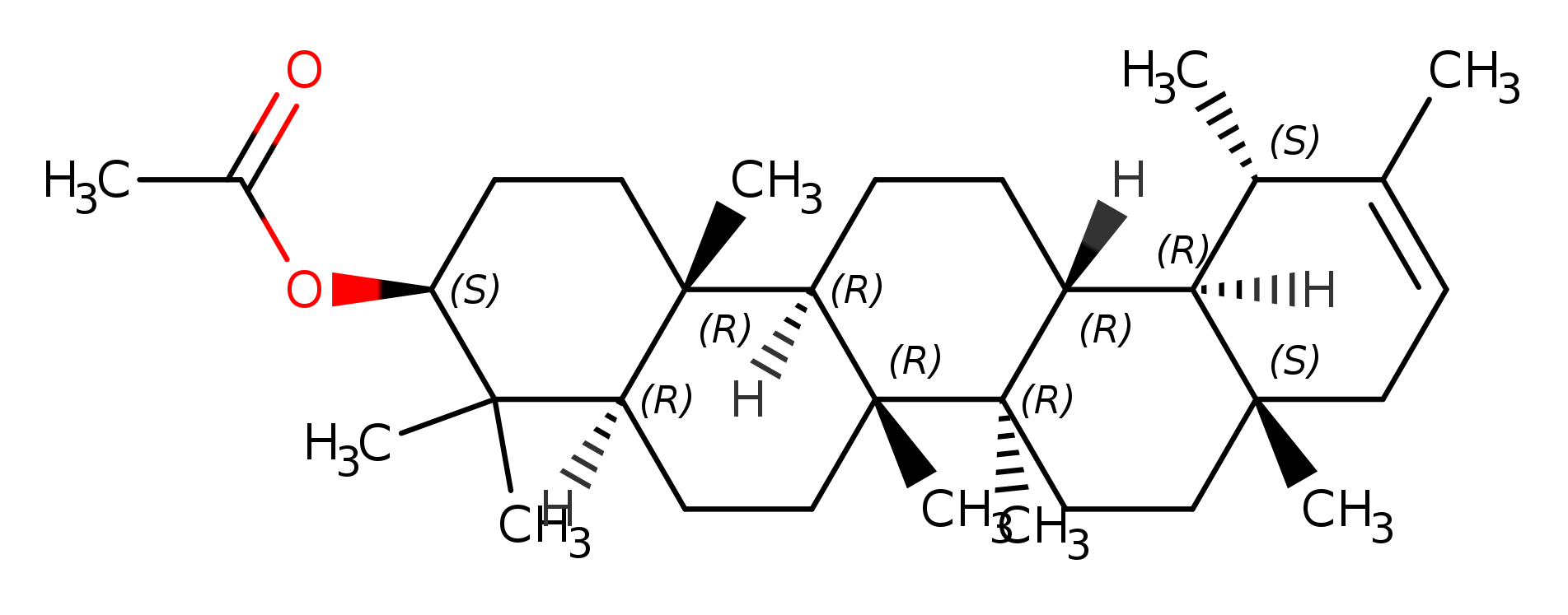
(2R)-2-[(2S,4aR,4bS,7R,8aS)-2,3,4,4a,4b,5,6,7,8,8a,9,10-Ddodecahydro-7-hydroxy-2,4b,8,8-tetramethyl-2-phenanthrenyl]-2-hydroxyethyl acetate
Catalog No.: EC0090DQ
MF: C22H36O4
MW: 364.5188
Packsize
Purity
Availability
Price
Quantity
5mg
98%
Global stock
€1092.00
Total:€ 0
Product Detail
Chemical Name
(2R)-2-[(2S,4aR,4bS,7R,8aS)-2,3,4,4a,4b,5,6,7,8,8a,9,10-Ddodecahydro-7-hydroxy-2,4b,8,8-tetramethyl-2-phenanthrenyl]-2-hydroxyethyl acetate
CAS Number
1188282-01-0
SMILES
CC(=O)OC[C@@H]([C@]1(CC[C@@H]2C(=C1)CC[C@H]3[C@]2(CC[C@H](C3(C)C)O)C)C)O
Molecular Weight
364.5188
Molecular Formula
C22H36O4
Related Products
More Products 







![tricyclo[5.2.1.0^{2,6}]dec-4-en-8-yl acetate](https://img.accelsci.com/storage/ed3d/ed3de85564ab3b5130d44ff9493dae2e.png)

