14982-12-8

14982-12-8
|EC008025
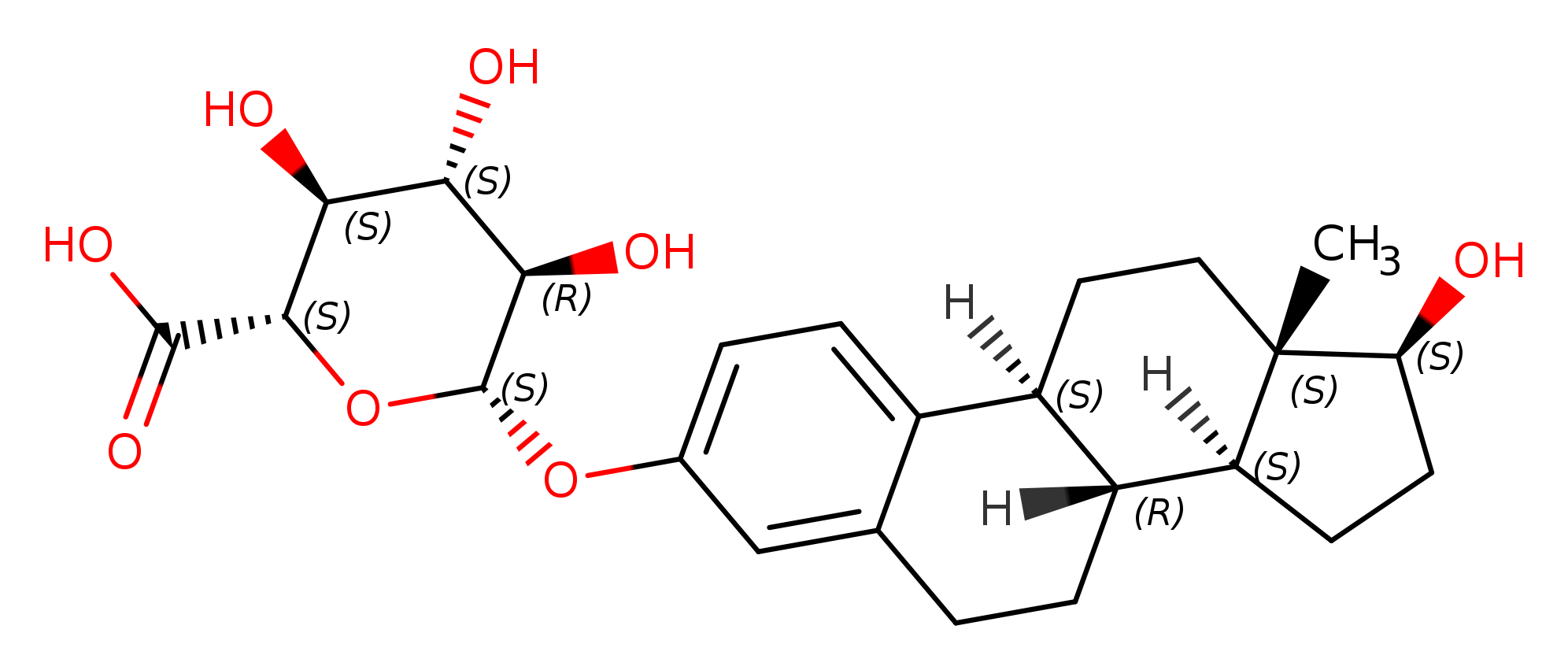
Sodium (2S,3S,4S,5R,6S)-3,4,5-trihydroxy-6-(((8R,9S,13S,14S,17S)-17-hydroxy-13-methyl-7,8,9,11,12,13,14,15,16,17-decahydro-6H-cyclopenta[a]phenanthren-3-yl)oxy)tetrahydro-2H-pyran-2-carboxylate
Catalog No.: EC008025
MF: C24H31NaO8
MW: 470.4879
Packsize
Purity
Availability
Price
Quantity
1mg
98%
Global stock
€227.00
Total:€ 0
Product Detail
Chemical Name
Sodium (2S,3S,4S,5R,6S)-3,4,5-trihydroxy-6-(((8R,9S,13S,14S,17S)-17-hydroxy-13-methyl-7,8,9,11,12,13,14,15,16,17-decahydro-6H-cyclopenta[a]phenanthren-3-yl)oxy)tetrahydro-2H-pyran-2-carboxylate
CAS Number
14982-12-8
SMILES
O[C@@H]1[C@H](O[C@H]([C@@H]([C@H]1O)O)OC=1C=CC=2[C@H]3CC[C@@]4([C@H](CC[C@H]4[C@@H]3CCC2C1)O)C)C(=O)[O-].[Na+]
Molecular Weight
470.4879
Molecular Formula
C24H31NaO8
Related Products






![1,3,5[10]-ESTRATRIEN-3-OL-17-ONE 3-GLUCURONIDE SODIUM SALT](https://img.accelsci.com/storage/5887/5887747a10e781a6f1ac0a15f33b9728.png)
