17086-76-9

17086-76-9
|EC00AQWR
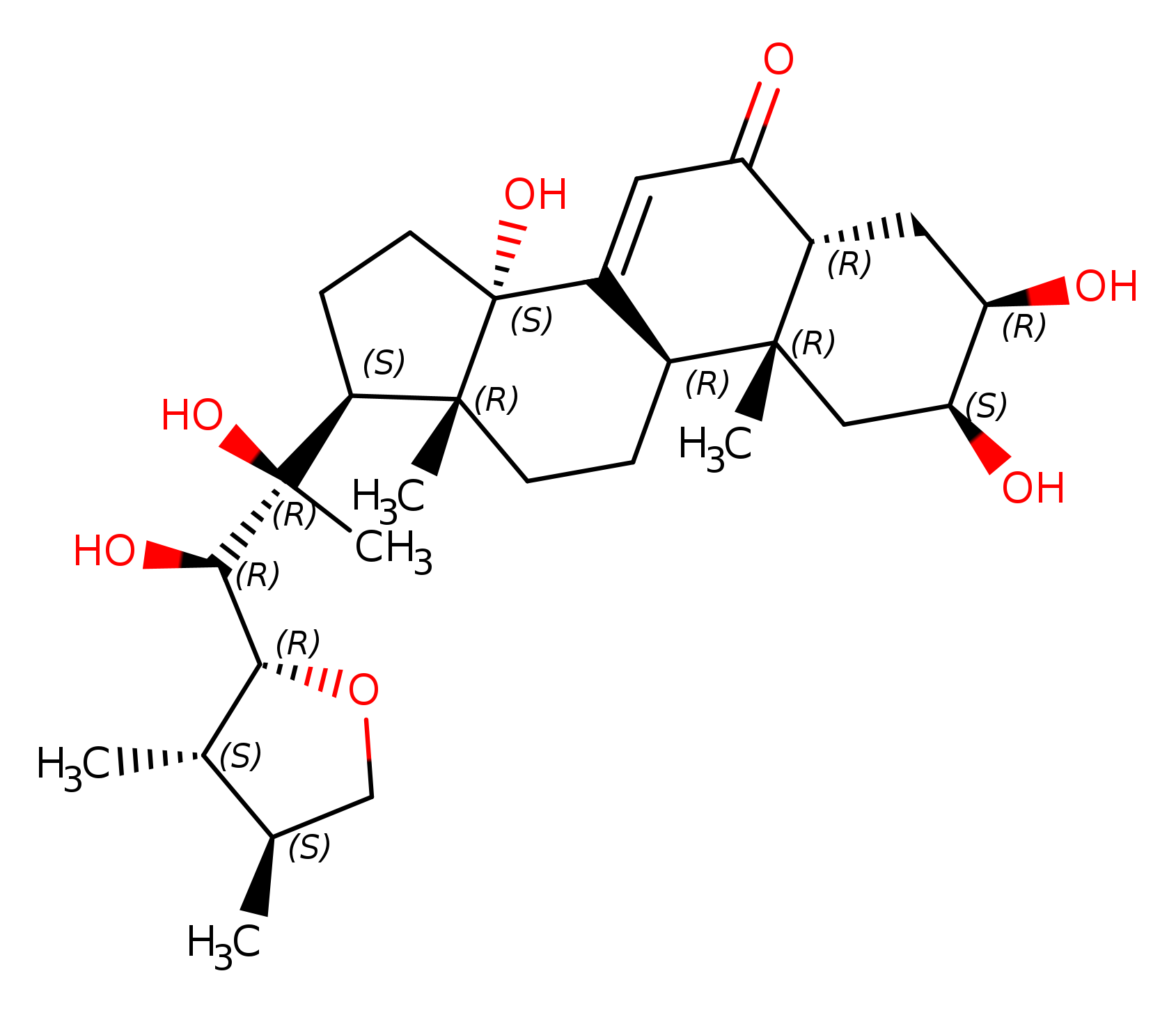
(3S,4S,5R)-4-((2R,3R)-2,3-Dihydroxy-3-((2S,3R,5R,9R,10R,13R,17S)-2,3,14-Trihydroxy-10,13-Dimethyl-6-Oxo-2,3,4,5,6,9,10,11,12,13,14,15,16,17-Tetradecahydro-1H-Cyclopenta[A]Phenanthren-17-Yl)Butyl)-5-Hydroxy-3-Methyltetrahydro-2H-Pyran-2-One
Catalog No.: EC00AQWR
MF: C29H44O9
MW: 536.6543
Packsize
Purity
Availability
Price
Quantity
1mg
98%
Global stock
€59.00
50mg
98%
Global stock
€93.00
Total:€ 0
Product Detail
Chemical Name
(3S,4S,5R)-4-((2R,3R)-2,3-Dihydroxy-3-((2S,3R,5R,9R,10R,13R,17S)-2,3,14-Trihydroxy-10,13-Dimethyl-6-Oxo-2,3,4,5,6,9,10,11,12,13,14,15,16,17-Tetradecahydro-1H-Cyclopenta[A]Phenanthren-17-Yl)Butyl)-5-Hydroxy-3-Methyltetrahydro-2H-Pyran-2-One
CAS Number
17086-76-9
SMILES
O=C1[C@@H](C)[C@H](C[C@@H](O)[C@@]([C@H]2CCC3(O)C4=CC([C@]5([H])C[C@@H](O)[C@@H](O)C[C@]5(C)[C@@]4([H])CC[C@]23C)=O)(O)C)[C@@H](O)CO1
Molecular Weight
536.6543
Molecular Formula
C29H44O9
Related Products







