176252-20-3

176252-20-3
|EC00AVNS
N-(4-Hydroxymethylbenzyl) Cyclam
Catalog No.: EC00AVNS
MF: C18H32N4O
MW: 320.4729
Product Detail
Chemical Name
N-(4-Hydroxymethylbenzyl) Cyclam
CAS Number
176252-20-3
SMILES
OCc1ccc(cc1)CN1CCNCCCNCCNCCC1
Molecular Weight
320.4729
Molecular Formula
C18H32N4O
Related Products
More Products 


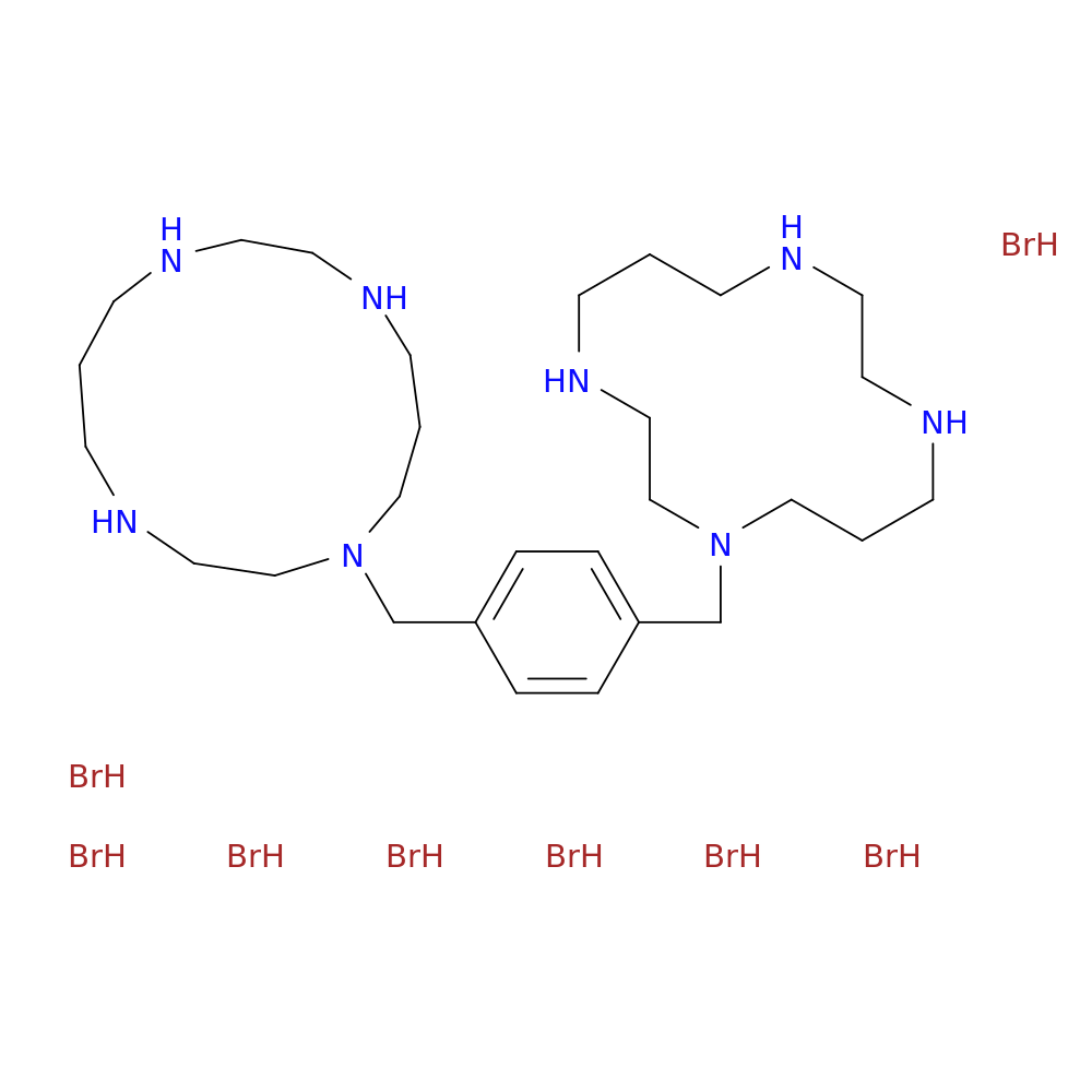
![1,1'-[1,4-Phenylenebis(methylene)]bis[1,4,8,11-tetraazacyclotetradecane] hydrochloride (1:8)](https://img.accelsci.com/storage/b0ed/b0edcf1e549907d43ba68691e2f017a7.png)





![{4-[(4-methyl-1,4-diazepan-1-yl)methyl]phenyl}methanamine](https://img.accelsci.com/storage/2785/27851f0b83b2d854d5bc7c556794f844.png)
![1-[(4-methylphenyl)methyl]-1,4-diazepane](https://img.accelsci.com/storage/8492/84923f58569c31d0026ba5404c2745e3.png)