209253-80-5

209253-80-5
|EC002MAI
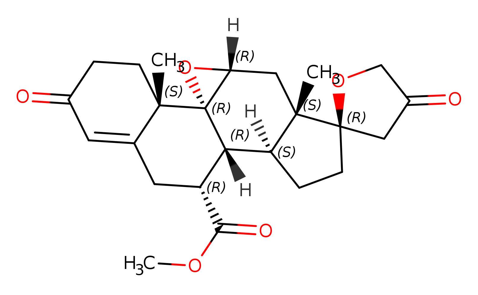
Pregn-4-ene-7,21-dicarboxylic acid, 9,11-epoxy-6,17-dihydroxy-3-oxo-, γ-lactone, methyl ester, (6β,7α,11α,17α)-
Catalog No.: EC002MAI
MF: C24H30O7
MW: 430.4908
Product Detail
Chemical Name
Pregn-4-ene-7,21-dicarboxylic acid, 9,11-epoxy-6,17-dihydroxy-3-oxo-, γ-lactone, methyl ester, (6β,7α,11α,17α)-
CAS Number
209253-80-5
SMILES
COC(=O)[C@@H]1[C@@H](O)C2=CC(=O)CC[C@@]2([C@@]23[C@@H]1[C@@H]1CC[C@]4([C@@]1(C)C[C@H]3O2)CCC(=O)O4)C
Molecular Weight
430.4908
Molecular Formula
C24H30O7
Related Products
More Products 


![(2'R,4aS,4bR,5aR,6aS,9aS,9bR,10R)-Methyl 4a,6a-dimethyl-2,4'-dioxo-3,4,4a,4',5a,5',6,6a,8,9,9a,9b,10,11-tetradecahydro-2H,3'H-spiro[cyclopenta[1,2]phenanthro[4,4a-b]oxirene-7,2'-furan]-10-carboxylate](https://img.accelsci.com/storage/8133/81339921e1c87409f4d233663e386eed.png)





![(4aS,4bR,5aR,6aS,7R,9aS,9bR,10R)-4a,6a-Dimethyl-2,5'-dioxo-2,4,4a,4',5a,5',6,6a,8,9,9a,9b,10,11-tetradecahydro-3H,3'H-spiro[cyclopenta[1,2]phenanthro[4,4a-b]oxirene-7,2'-furan]-10-carboxylic acid](https://img.accelsci.com/storage/2bf1/2bf18b93fad1b4fd196293c7c10e4cb2.png)
