263844-80-0

263844-80-0
|EC002V4V
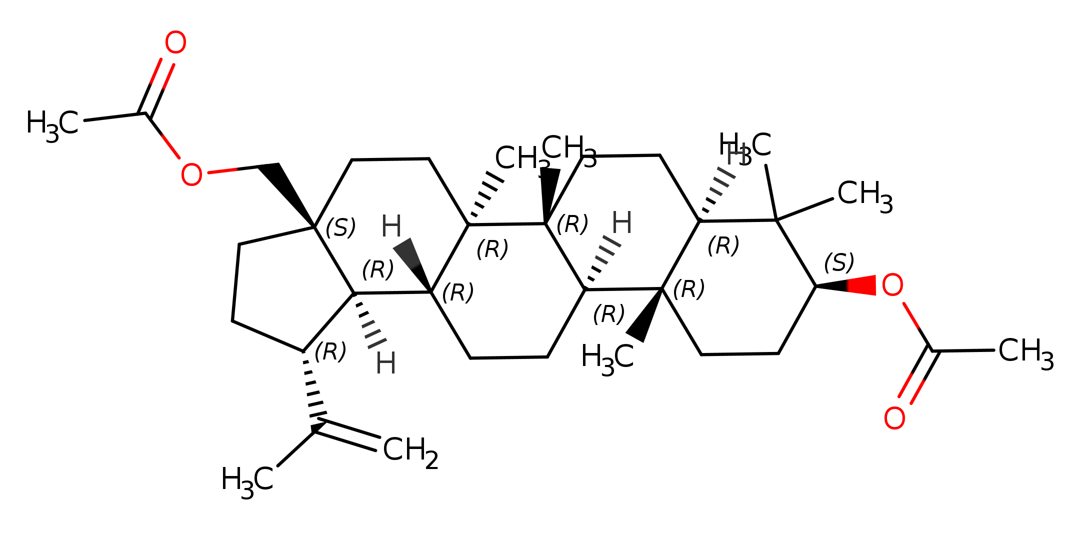
3-Acetoxy-27-hydroxy-20(29)-lupen-28-oic acid methyl ester
Catalog No.: EC002V4V
MF: C33H52O5
MW: 528.7630
Packsize
Purity
Availability
Price
Quantity
5mg
97%
Global stock
€946.00
Total:€ 0
Product Detail
Chemical Name
3-Acetoxy-27-hydroxy-20(29)-lupen-28-oic acid methyl ester
CAS Number
263844-80-0
SMILES
COC(=O)[C@]12CC[C@H]([C@@H]1[C@H]1CC[C@@H]3[C@@]4(C)CC[C@@H](OC(C)=O)C(C)(C)[C@@H]4CC[C@@]3(C)[C@]1(CO)CC2)C(C)=C
Molecular Weight
528.7630
Molecular Formula
C33H52O5
Related Products
More Products 








![(1R,3aR,5aR,5bR,7aR,9S,11aR,11bR,13aR,13bR)-3a,5a,5b,8,8,11a-Hexamethyl-1-(prop-1-en-2-yl)icosahydro-1H-cyclopenta[a]chrysen-9-yl acetate](https://img.accelsci.com/storage/8ed7/8ed7c01b76f2304f696e28d209e1bafc.png)
