268541-26-0

268541-26-0
|EC00C6ZS
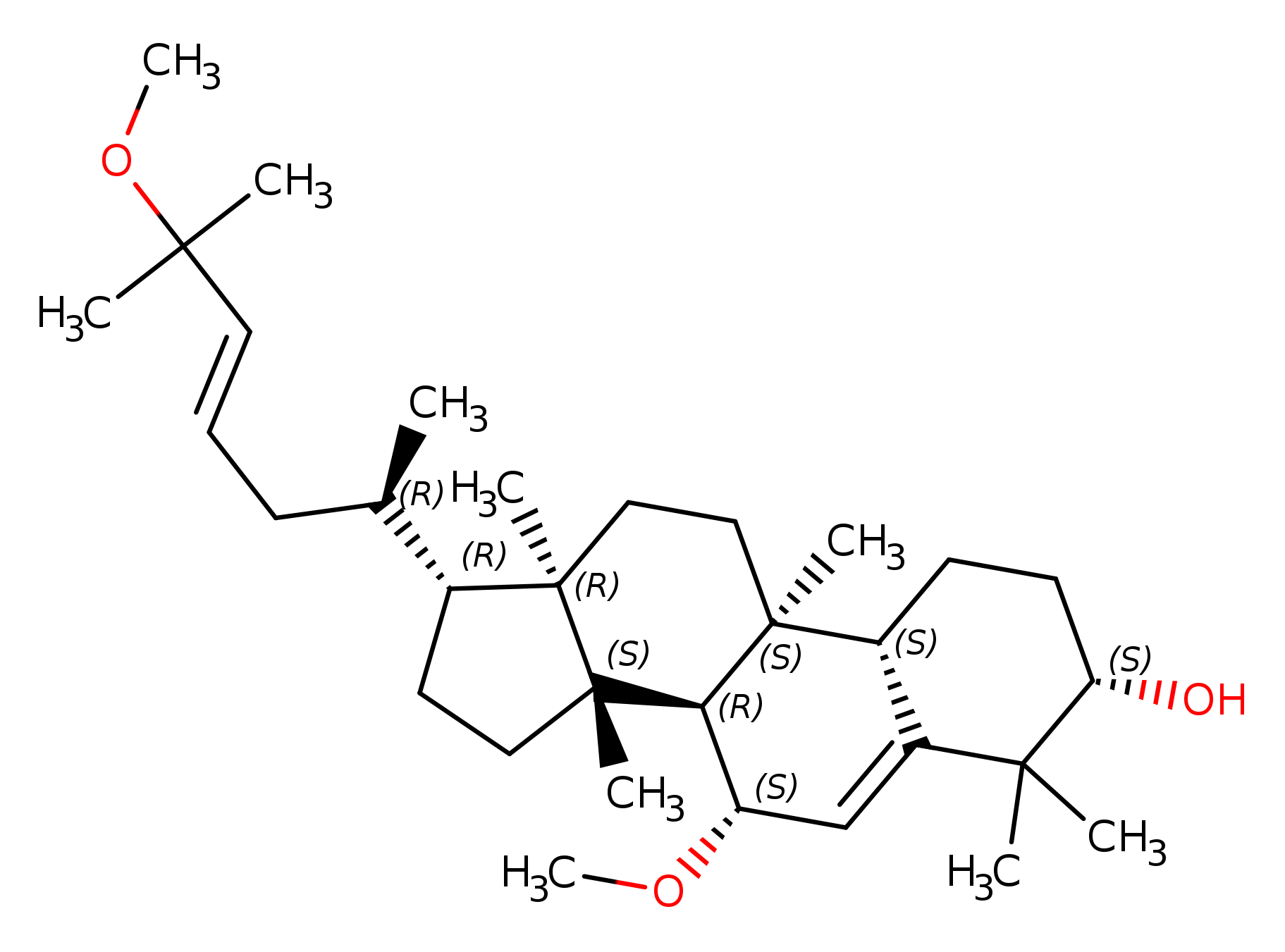
Triptohypol F
Catalog No.: EC00C6ZS
MF: C31H52O2
MW: 456.7434
Packsize
Purity
Availability
Price
Quantity
5mg
98%
Global stock
€1043.00
Total:€ 0
Product Detail
Chemical Name
Triptohypol F
CAS Number
268541-26-0
SMILES
C[C@@]12CC[C@@]3(C(=C[C@H]([C@H]4[C@]3(CC[C@@H]5[C@@]4(CC[C@@H](C5(C)C)O)C)C)OC)[C@@H]1CC(CC2)(C)C)C
Molecular Weight
456.7434
Molecular Formula
C31H52O2
Related Products


![1-Oxaspiro[4.5]dec-6-ene, 2,6,10,10-tetramethyl-](https://img.accelsci.com/storage/500b/500b39dc46e8b082b5ea8dfd2ce590cf.png)


![{1-methoxybicyclo[2.2.2]oct-5-en-2-yl}methanol](https://img.accelsci.com/storage/c95c/c95c100c35bb1a2db8c2e0c5d83085dd.png)