89913-60-0

89913-60-0
|EC00H2EV
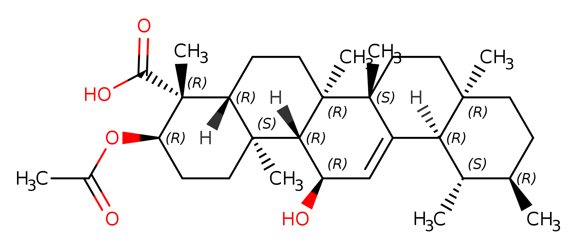
α-acetyl Boswellic Acid
Catalog No.: EC00H2EV
MF: C32H50O4
MW: 498.7370
Packsize
Purity
Availability
Price
Quantity
10mg
99%
Global stock
€143.00
25mg
99%
Global stock
€355.00
50mg
99%
Global stock
€626.00
Total:€ 0
Product Detail
Chemical Name
α-acetyl Boswellic Acid
CAS Number
89913-60-0
SMILES
CC1(C)CC[C@]2(C)CC[C@@]3(C)[C@@]4(C)[C@]([C@](CC[C@@H](OC(C)=O)[C@@]5(C(O)=O)C)(C)[C@@]5([H])CC4)([H])CC=C3[C@]2([H])C1
Molecular Weight
498.7370
Molecular Formula
C32H50O4
Related Products
More Products 









